
12장 컴포넌트
컴포넌트 : 시스템의 구성 요소로 배포할 수 있는 가장 작은 단위
- 컴파일러형 언어 : 바이너리 파일의 결합체
- 인터프리터형 언어 : 소스 파일의 결합체
ex) java - .jar , ruby - .gem , .net -> .dll
컴포넌트가 마지막으로 어떤 형태로 배포되든, 잘 설계된 컴포넌트라면 반드시 독립적으로 배포가 가능해야 하며 독립적으로 개발 가능한 능력을 갖춰야 한다.
컴포넌트의 간략한 역사
- 소프트웨어 개발 초창기 : 프로그램이 로드될 주소 직접 제어
- 구시대의 라이브러리 함수 접근 : 라이브러리 함수의 소스 코드를 application 코드에 직접 포함시켜 단일 프로그램으로 컴파일
- 이 때문에, 컴파일 과정 오래 걸리고, 메모리는 한정적
- 컴파일 시간 단축을 위해 함수 라이브러리를 개별적 컴파일
- 라이브러리 사용 방식 : 라이브러리 로드하고 메모리 주소에 접근 방식
재배치성
위에서 언급한 기존 라이브러리 사용 방식은 지속 가능하지 않았다.
해결책 : 재배치가 가능한 binary 사용
- 지능적인 로더를 통해 메모리에 재배치할 수 있는 형태의 바이너리를 생성하도록 컴파일러 수정
- 외부 참조(external reference) 생성 : 프로그램이 라이브러리 호출 시, 컴파일러는 라이브러리 함수 이름
- 외부 정의(external definition) 생성 : 라이브러리 함수를 젖ㅇ의하는 프로그램에 대해 컴파일러가 정하는 해당 이름
- 이를 통해 외부 정의를 로드할 위치가 정해지면, 로더가 외부 참조를 외부 정의에 링크 가능
- 이는 링킹 로더(linking loader)의 탄생
링커
링킹 로더(linking loader)의 등장으로 프로그램을 개별적 컴파일 / 로드 단위로 분할할 수 있게 되었다.
- 이후 프로그램은 점점 크기가 커졌고, 이 때문에 링킹 로더의 속도가 느려짐
- 따라서 로드와 링크를 분리

링커
느린 부분의 링크 과정이 완료된 재배치 코드를 만듦
- 이를 통해 로더의로딩 과정이 빨라짐
이후 무어(Moore)의 등장으로 메모리 저렴 / 디스크 작아짐
- 이를 통해 다시 로드와 링크를 동시에 가능해짐
- 다수의
.jar파일 or 공유 라이브러리 링크 후, 실행 가능
컴포넌트 플러그인 아키텍처(component plugin architecture)의 탄생
13장 컴포넌트 응집도
컴포넌트 응집도의 세가지 원칙
- REP: 재사용/릴리스 등가 원칙(Reuse/Release Equivalence Principle)
- CCP: 공통 폐쇄 원칙(Common Closure Principle)
- CRP: 공통 재사용 원칙(Common Reuse Principle)
REP (재사용/릴리즈 등가 원칙)
재사용 단위는 릴리스 단위와 같다
- SW 설계와 아키텍쳐 관점에서 보면, 단일 컴포넌트는 응집성 높은 클래스와 모듈들로 구성되어야 함
- 컴포넌트를 구성하는 모든 모듈은 서로 공유하는 중요한 테마나 목적이 있어야 한다.
하나의 컴포넌트로 묶인 클래스와 모듈은 버전 번호가 같고, 동일한 릴리스로 추적 관리어야한다. - REP를 어길 시, SW(모듈)은
이치에 맞지않게 된다.
CCP (공통 폐쇄 원칙)
동일한 이유로 동일한 시점에 변경되는 클래스를 같은 컴포넌트로 묶어야 한다.
서로 다른 시점에 다른 이유로 변경되는 클래스는 다른 컴포넌트로 분리하라
- 컴포넌트 관점의 SRP(단일 책임 원칙)
- 단일 컴포넌트는 변경의 이유가 여러 개여서는 안된다.
- 대다수의 application에서 유지보수성은 재사용성보다 훨씬 중요
- CCP는 변경될 가능성이 있는 클래스는 모두 한 곳으로 묶기를 권장
SRP와의 유사성
- SRP → 서로 다른 이유로 변경되는 메서드를 서로 다른 클래스로 분리하라
- CCP → 서로 다른 이유로 변경되는 클래스를 서로 다른 컴포넌트로 분리하라
CRP (공통 재사용 원칙)
컴포넌트 사용자들을 필요하지 않는 것에 의존하게 강요하지 말라.
- 같이 재사용되는 클래스와 모듈들은 같은 컴포넌트에 포함되어야 한다.
- 어떤 컴포넌트가 다른 컴포넌트를 사용하면, 두 컴포넌트 사이에는 의존성 생성
- 의존하는 컴포넌트가 있다면 해당 컴포넌트의 모든 클래스에 대해 희존성을 확실히 인지해야 함
- 강하게 결합되지 않은 클래스들은 동일한 컴포넌트에 위치시켜서는 안된다.
- 어떤 클래스를 한 곳에 묶기보다는, 한 곳에 묶어서는 안되는 것에 대해 피력
ISP와의 유사성
- ISP → 사용하지 않는 메서드가 있는 클래스에 의존하지 말라고 조언
- CRP → 사용하지 않는 클래스를 가진 컴포넌트에 의존하지 말라고 조언
즉, 필요하지 않은 것에 의존하지 말라.
컴포넌트 응집도 균형 다이어그램
REP, CCP: inclusive 원칙 (컴포넌트를 크게)CRP: exclusive 원칙 (컴포넌트를 작게)
- 프로젝트의 컴포넌트 구조는 시간과 성숙도에 따라 변한다.
- 프로젝트가 실제로 수행하는 일 자체보다는 프로젝트가 발전되고 사용되는 방법과 더 관련이 깊다.

결론
- 컴포넌트로 만들지 결정할 때, 재사용성과 개발가능성에 상충성을 고려할 것
- 균형을 맞추어 잡아야하는데, 이 균형점은 거의 항상 유동적
- 결과적으로 시간이 흐름에 따라 프로젝트의 초점이 개발 가능성 -> 재사용성
- 그에 따라 컴포넌트를 구성하는 방식도 진화
14장 컴포넌트 결합
ADP : 의존성 비순환 규칙
컴포넌트 의존성 그래프에 순환이 있어서는 안된다(cycle X)
동일한 소스코드를 여러 사람이 수정하게 되면, 서로의 코드에 의존성 생성
기존의 의존성을 가진 관계 중 의존성을 주던, 클래스의 수정이 발생하면 수정이 발생한 클래스를 사용하던 곳에서 작동하지 않게 된다.
해결 방법
- 주 단위 빌드(weekly build)
- 의존성 비순환 원칙(Acyclic Dependencies Principle - ADP)
주 단위 빌드
- 중간 규모 프로젝트에서 흔히 사용
- 일주일의 첫 4일 : 개별 코딩 / 금요일 - 통합 및 빌드
- 장점 :
- 빠른 피드백
- 생각하지 않고 편하게 개발 가능
- 단점 :
- 프로젝트가 커지면 통합 시에, 리소스 과다 요구 (효율성 하락)
순환 의존성 제거
- 주 단위 빌드의 문제점 해결책
- 개발 환경을 릴리스 가능한 컴포넌트 단위로 분리
- 컴포넌트 사이의 의존성 구조 관리 필요
- 의존성 구조에 순환이 존재해서는 X

- 방향이 있지만 순환이 없는 그래프 (DAG - Directed Acyclic Graph)
- vertex : 컴포넌트 / direct edge : 의존성 관계
- 어느 컴포넌트에서 시작하든, 의존성 관계를 통해 최초의 컴포넌트 조회 가능
- 시스템 전체를 릴리스해야 한다면 상향식으로 진행
- entities -> DB, Interators -> ...
- 의존성 파악을 통해 시스템을 빌드하는 방법/순서를 파악 가능
순환의 문제점
- 컴포넌트의 분리가 무의미/어려워짐 -> 하나의 컴포넌트가 되어버림
- 단위 테스트 / 릴리스의 난이도가 어려워지며, 에러 발생 가능성 높아짐
- 모듈의 개수가 많아짐에 따라 빌드 관련 이슈는 기하급수적 증가
Authorizer 의 의존성 추가
- (DB -> Entities -> Authorizer)

순환 끊기
순환이 발생된다면, 의존성을 다시 순환이 없도록 DAG로 만들어야 한다.
방법

- DIP 적용
User가 필요로 하는 메서드를 제공하는 인터페이스 생성- 인터페이스를
Entities에 위치 Authorizer가 해당 인터페이스 상속
순한이 발생하는 컴포넌트 사이에 새로운 컴포넌트 생성

- 순환을 끊을 수 있도록, 두 컴포넌트가 모두 의존하는 클래스들을 새로운 컴포넌트로 이동시킨다.
Jitters(흐트러짐)
요구사항이 변경되면 컴포넌트 구조도 변경될 수 있음
- 순환이 발생하면 어떤 식으로든 제거 필요
- 때로 새로운 컴포넌트 생성하거나 의존성 구조가 커질 수 있음을 시사
Top-down 설계
컴포넌트 구조는 하향식으로 설계될 수 없음
- 컴포넌트는 시스템에서 가장 먼저 설계할 수 있는 대상 X
- 컴포넌트 의존성 다이어그렘 != 애플리케이션 기능
- 컴포넌트 의존성 다이어그렘 == 어플리케이션의 빌드 가능성 / 유지보수성 시사
- 의존성 구조와 관련된 최우선적 고려사항 : 변동성 격리
SDP (안정된 의존성 원칙)
안전성의 방향으로 더 안정된 쪽으로 의존하라
- 변경이 쉽지 않은 컴포넌트가 변동이 잦은 컴포넌트에 의존하게 해선 X
- 한 번 의존하게 되면 변동성이 큰 컴포넌트는 결국 변경이 어려워짐
- SDP 를 통해 변경하기 어려운 모듈이 변경하기 쉽게 만들어진 모듈에 의존하지 않도록 만들 수 있음
안정성 (stability)
- 변경을 만들기 위해 필요한 작업량과 관련
- 컴포넌트를 변경하기 어렵게 만드는 방법 : 수많은 컴포넌트가 해당 컴포넌트에 의존적으로
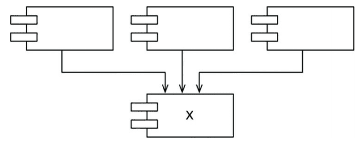
< 불안정한 컴포넌트 Y >

- 어떤 컴포넌트도 Y에 의존하지 않기 때문에 Y는 책임성이 없다
- 또한 Y는 세 개의 컴포넌트에 의존하므로 변경이 발생할 수 있는 외부 요인이 세 가지
- Y : 의존적
< 안정된 컴포넌트 X >

- X는 세 컴포넌트를 책임진다(responsible) : 세 컴포넌트가 X에 의존하고 따라서 X 컴포넌트는 변경하지 말아야 할 이유가 세 가지나 있기 때문
- X는 독립적이다(independent) : X는 어디에도 의존하지 않으므로 X가 변경되도록 만들 수 있는 외적인 영향이 전혀 없다.
안정성 지표
- Fan-in: 안으로 들어오는 의존성(컴포넌트 내부의 클래스에 의존하는 컴포넌트 외부의 클래스 개수)
- Fan-out: 바깥으로 나가는 의존성(컴포넌트 외부의 클래스에 의존하는 컴포넌트 내부의 클래스 개수)
- I(불안정성) :
Fan-out / (Fan-in + Fan-out)- [0, 1] 범위의 값 (I = 0 최고의 안정된 컴포넌트) / (I = 1 최고로 불안정한 컴포넌트)

CC 컴포넌트 안정성 계산
Fan-in: 3Fan-Out: 1I: 1/4
SDP에서 컴포넌트 불안정성은 그 컴포넌트가 의존하는 다른 컴포넌트들의 불안정성보다 커야한다.
즉, 의존성 방향으로 갈수록 불안정성 지표 값이 감소해야 한다.
모든 컴포넌트가 안정적이여야 하는 것은 아니다.
- 모든 컴포넌트가 최고로 안정적인 시스템 -> 변경 불가능
- 이상적인 구조 : 불안정한 컴포넌트도 있고 안정된 컴포넌트도 존재
- 일반적으로 불안정한 컴포넌트는 위쪽에 위치
- 위쪽에는 변경 가능한 컴포넌트, 아래의 안정된 컴포넌트에 의존
- 만약 위로 향하는 화살표는 SDP를 위해하는 상태가 되기 때문

추상 컴포넌트 오로지 인터페이스만을 포함하는 컴포넌트 생성하는 방식인 추상 컴포넌트는 굉장히 안정적
- 따라서 덜 안정적인 컴포넌트가 의존할 수 있는 이상적인 대상
- 동적 타입 언어(ex_ 파이썬)를 사용할 때는 이러한 추상 컴포넌트가 X (추상 컴포넌트로 향하는 의존성 X)
- 해당 언어들은 의존성 구조가 더욱 단순, 의존성 역전시 인터페이스를 선언하거나 상속받을 일이 없어서이다.
SAP (안정된 추상화 원칙)
컴포넌트는 안정된 정도만큼만 추상화되어야 한다.
고수준 정책 위치
고수준 아키텍처, 정책 결정 관련 SW
- 자주 변경되어선 안되는 소프트웨어 (I = 0)
- 하지만 고수준 정책을 안정된 컴포넌트에 위치시킬 시, 그 정책을 포함하는 소스코드는 수정이 어려움
- 시스템 전체 아키텍처의 유연성 하락
컴포넌트가 안정된 상태이면서 변경에 충분히 유연성을 가지는 방법 : OCP의 확장 개념
안정된 추상화 원칙
SAP는 안정성과 추상화 사이의 관계를 정의
- 안정된 컴포넌트 = 추상 컴포넌트여야 하며, 안정성이 컴포넌트 확장하는 것에 방해되어선 X
- 불안정한 컴포넌트 = 구체 컴포넌트여야 하며, 쉽게 변경될 수 있어야함
SAP + SDP = 컴포넌트계의 DIP
- SDP : 의존성의 방향은 안정성의 방향으로 + (안정성 == 추상화)
- 따라서 의존성은 추상화의 방향으로 향한다.
결국, 안정적인 컴포넌트는 반드시 인터페이스 / 추상 클래스로 구성되어 쉽게 확장할 수 있어야 한다.
주계열
안정성(I)과 추상화(A) 의 관계 ㄱ래프
- 최고 안정적 / 추상화 컴포넌트 = (0,1)
- 최고 불안정 / 구체화 컴포넌트 = (1,0)

배제 구역 : 고통의 구역 + 쓸모 없는 구역
- 컴포넌트가 위치해서는 안되는 영역
고통의 구역
- (0, 0) 주변 구역에 위치한 컴포넌트는 매우 안정적이며 구체적이다.
- 뻣뻣한 상태이다. 추상적이지 않아서 확장할 수 없고, 안정적이므로 변경하기 상당히 어렵다.
- 하지만 변동성이 없는 컴포넌트는 (0, 0) 구역에 위치하더라고 해롭지 않음 (변동될 가능성이 없기 때문)
쓸모없는 구역
- (1, 1) 주변의 컴포넌트는 최고로 추상적이지만, 다른 컴포넌트에 의존하지 않음
- 이러한 컴포넌트는 쓸모가 없다.
배제 구역 벗어나기
- 변동성이 큰 컴포넌트 대부분은 두 배제 구역으로부터 가능한 한 멀리 떨어뜨려야 한다.
- 주계열에 컴포넌트를 위치시키도록 해야한다.
- 주계열 위 또는 가깝게 위치,
- 이렇게 위치하면 '너무 추상적'이지도 않고, 추상화 정도에 비해 '너무 불안정'하지도 않음
결론
의존성 관리 지표 : 설계의 의존성과 추상화 정도가 '훌륭한' 패턴에 얼마나 잘 부합하는지를 측정
책에서는 경험을 통해 좋은 의존성도 있지만 좋지 않은 의존성도 있다는 사실을 배웠고, '훌륭한' 패턴은 이러한 저자의 경험을 반영한다.
'책 > CleanArchitecture' 카테고리의 다른 글
| 클린 아키텍처 17장, 18장, 19장 리뷰 (0) | 2023.01.15 |
|---|---|
| 클린 아키텍처 15장, 16장 리뷰 (2) | 2023.01.01 |
| 클린 아키텍처 8장, 9장, 10장, 11장 리뷰 (0) | 2022.12.28 |
| 클린 아키텍처 6장, 7장 리뷰 (1) | 2022.12.25 |
| 클린 아키텍처 1장, 2장, 3장, 4장, 5장 리뷰 (0) | 2022.12.11 |